A study demonstrates the efficiency of a screening strategy to detect liver diseases

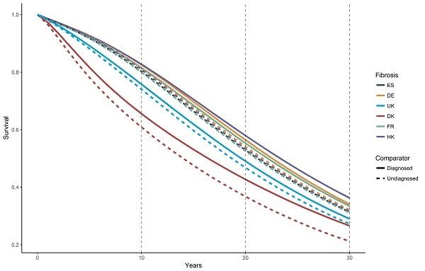
image: Estimates of survival of the cost-effectiveness model in the diagnosis of fibrosis.

Image: 
UPF

Non-alcoholic fatty liver diseases (NAFLD) and alcohol-related diseases (ALD) are currently the leading cause of chronic disease, cancer and mortality associated with this organ in developed countries.

Patients in advanced stages have a poor prognosis with regard to survival and quality of life. Similarly to cancer, liver diseases in their early stages are asymptomatic, and therefore, most patients are diagnosed in advanced stages. However, there is a lack of screening strategies in the field of public health for the detection of liver fibrosis.

A study published recently in Journal of Hepatology, drafted within the LiverScreen European consortium, with the participation of the Centre for Research in Health Economics (CRES-UPF) and Hospital Clínic de Barcelona together with experts from various international universities within the framework of the LiverScreen project, proposes exploring the cost-effectiveness of transient elastography (TE) as a screening method in primary care. It is a non-invasive test that evaluates the elasticity and stiffness of the liver by ultrasound as a screening method for detecting liver fibrosis in primary care.

"The implementation of a screening programme to detect liver fibrosis, in primary care centres, is a highly cost-effective intervention. This approach could prove a valuable public health strategy. In fact, the UK's National Institute for Health and Care Excellence (NICE) already recommends it in patients at risk", says Miquel Serra-Burriel.

A study in patients from six countries

To carry out their research, the researchers included a total of 6,295 participants from six countries (France, Spain, Denmark, UK, Germany and Hong Kong). They correspond to seven independent prospective studies carried out previously (one cohort per country, except Spain with two), in which TE was used to diagnose liver fibrosis.

The cohorts of the different countries consisted of people of different ages and risk factors, such as high alcohol consumption. The cohorts from Denmark, France and the UK were designed to obtain biopsies to confirm liver fibrosis. "We used data from a subset of patients who had undergone a liver biopsy. After defining the best indicators, we applied them to our cohorts to evaluate the prevalence of significant fibrosis and accuracy of diagnosis", the CRES-UPF researcher affirms.

Then, these results were used to adjust an economic model that compares two different ways to detect significant fibrosis: the TE pathway compared to the standard care pathway, based on liver enzyme tests.

"The goal of using non-invasive detection of fibrosis by TE as a public health intervention was to achieve earlier, more reliable identification of the patient, refer her in a timely manner to the specialist, give her the appropriate treatment and include her in monitoring programmes", Miquel Serra-Burriel asserts.

A cost-effective public health intervention

The study shows that the detection of liver fibrosis using optimized algorithms is a highly cost-effective public health intervention, especially in the early stages of fibrosis, with a 12% probability of cost saving. "As expected, when we focus on patients with risk factors for chronic liver disease, including patients with diabetes, obesity and hazardous alcohol consumption, the screening programme is even more cost-effective", Miquel Serra-Burriel adds.

According to the authors of the study, implementing TE liver screening would require investing between 2,500 (at-risk population) and 6,500 euros (general population) adapted to purchasing power parity (PPP), to achieve another year of life, adjusted for quality of life.

Compared to the subsequent stages of chronic liver disease, significant liver fibrosis screening results in a ten-fold cost-effectiveness improvement, highlighting the importance of early identification, referral and monitoring of these patients.

The authors state that future studies should test whether a two-step approach using serum biomarkers followed by TE would be cost-effective, and analyse the cost savings entailed in this combined system for screening the population.

A multidisciplinary international project

LiverScreen, which involves health professionals, economists, statisticians and quality controllers, has received funding within EIT Health 2018, a project which promotes healthy living, active ageing and improved health in the context of the European Commission's Horizon 2020 research and innovation programme. It has also received a Spanish Plan Nacional I+D+i grant, co-funded by the Carlos III Health Institute and the European Union's ERDF.

In addition to CRES-UPF, in Catalonia LiverScreen also involves institutions such as Hospital Clínic, the IDIBAPS research centre and the Catalan Health Institute (ICS).

Credit: 
Universitat Pompeu Fabra - Barcelona