Oncotarget: miRNA signatures from epidermal growth factor inhibitor patients

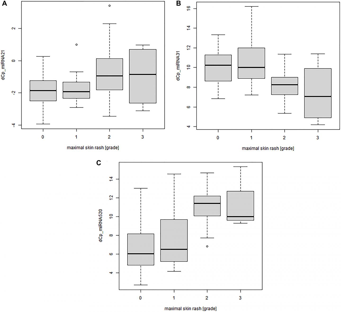
image: Significant correlation between miRNA serum concentration and severity of the skin rash for patients treated with monoclonal antibody EGFRIs. MiRNA concentrations were determined by qPCR (n = 98). dCP values were calculated against miR-93. A high dCP value means the miRNA is down regulated. (A) miR-21 concentration plotted against the maximum severity of the skin rash during observation period; linear trend test, p-value < 0.001. (B) miR-31 concentration plotted against the maximum severity of the skin rash during observation period; linear trend test, p-value < 0.001. (C) miR-520e concentration plotted against the maximum severity of the skin rash during observation period; linear trend test, p-value < 0.001. (0 = no skin rash, 1 = light skin rash, 2 = mild skin rash, 3 = sever skin rash). Abbreviation: dCP: delta crossing point.

Image: 
Correspondence to - Julia Carolin Stingl - jstingl@ukaachen.de

Oncotarget published "Association between miRNA signatures in serum samples from epidermal growth factor inhibitor treated patients and skin toxicity" which reported that on average 70% of patients treated with EGFRIs suffer from skin toxicity.

Studies showed a correlation between overall survival and the appearance of a skin rash, which is used as a biomarker for therapy efficacy.

In this study, the authors searched for associations of miRNA expression profiles in serum, with the severity of skin rash, in order to identify tentative therapy predictive biomarkers.

In this cohort of patients treated with EGFR inhibiting monoclonal antibodies, miR-21 and miR-520e serum concentrations were negatively correlated with severity of skin rash whereas for miR-31, a positive correlation was observed.

This Oncotarget study suggests that miR-21, miR-31 and miR-520e expression might be a treatment dependent marker for EGFRI induced skin rash.

This Oncotarget study suggests that miR-21, miR-31 and miR-520e expression might be a treatment dependent marker for EGFRI induced skin rash.

Dr. Julia Carolin Stingl from The University Hospital of the RWTH Aachen said, "Epidermal growth factor receptor inhibitors (EGFRI) belong to the so called targeted cancer therapy and are used for the treatment of different cancer types like non-small-lung-cancer (NSLC), head-and-neck-cancer (head-and-neck-ca), colon-rectal-cancer (colon-ca) and pancreas-cancer (pancreatic -ca)"

But with all these possible treatments of EGFRI induced skin rash, its treatment predictive value might get lost and new biomarkers will be needed.

EGFR ligands like epiregulin, amphiregulin, and hepatocyte growth factor were investigated as biomarkers for skin rash and found to be inversely proportional to grades of skin toxicity.

Within the scope of this study, different aspects of the EGFRI-induced skin rash were investigated, all with the objective to better understand EGFRI induced skin rash and find predictive biomarkers.

However, so far most of the studies in cancer patients focused on miRNAs expressed in cancer cells or secreted into body fluids most likely by cancer cells, while miRNAs associated with the skin rash have not been investigated.

To elucidate the influence of miRNAs in the development of skin rash these authors previously investigated the miRNA expression in fibroblasts incubated with and without erlotinib.

The Stingl Research Team concluded in their Oncotarget Research Output that the biggest limitation might be that there are no serum samples from patients before they were treated with an EGFR inhibitor.

Hence, the authors cannot say if the effects we found are mostly due to the therapy with an EGFRI or if those effects can be seen in patients in general.

However, because of the heterogeneity of the cohort concerning the tumor type and cancer state, a treatment specific effect is possible.

Still these miRNAs give us a better understanding about the skin rash, which can be used for further investigations.

Credit: 
Impact Journals LLC