Oncotarget: Drug-resistant cells grow exponentially in metastatic prostate cancer

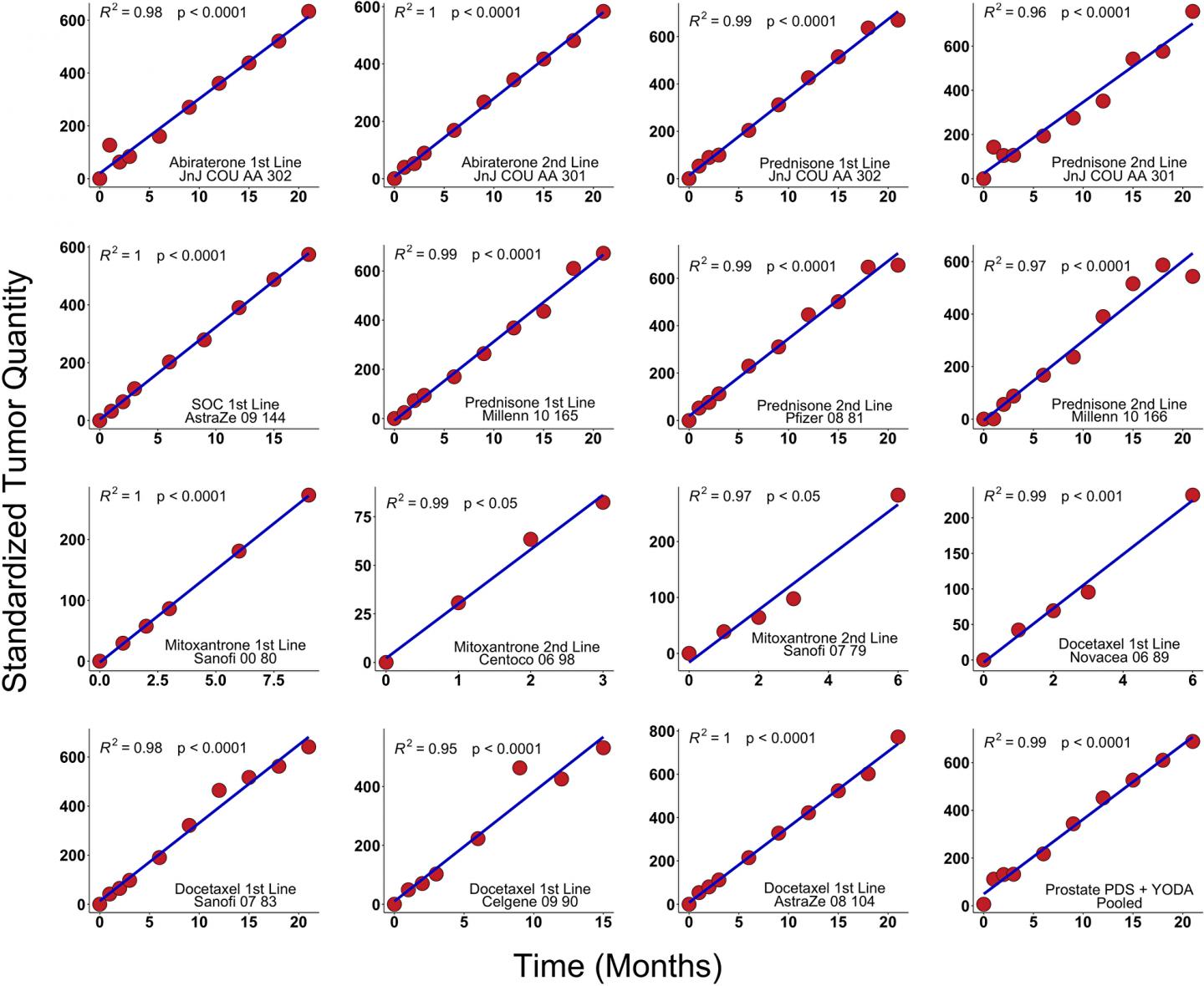
image: Results in clinical trials. PSA values from fifteen arms derived from prostate cancer clinical trials were analyzed using scaling analysis and averaging all patients in a treatment arm. The straight line indicates that tumor growth is exponential. These trials were summed in the lower right-hand corner (Methods). We analyzed de-identified, patient-level comparator (control) arm data from thirteen randomized metastatic castrate-resistant prostate cancer (mRPC) clinical trials including one phase IIB and ten phase III available in Project Data Sphere, LLC (PDS) and two randomized trials available from YODA (Yale University Open Data Access). Thirteen arms were the comparators and two treatment arms were abiraterone. All y-axes have the units of inverse rate, i.e., time.

Image: 
Correspondence to - Krastan B. Blagoev - krastan@jhu.edu

The cover for issue 1 of Oncotarget features Figure 2, "Results in clinical trials," published in "Drug resistant cells with very large proliferative potential grow exponentially in metastatic prostate cancer" by Blagoev, et al. which reported that most metastatic cancers develop drug resistance during treatment and continue to grow, driven by a subpopulation of cancer cells unresponsive to the therapy being administered.

There is evidence that metastases are formed by phenotypically plastic cancer cells with stem-cell-like properties.

Currently, the population structure and growth dynamics of the resulting metastatic tumors is unknown.

Here, using scaling analysis of clinical data of tumor burden in patients with metastatic prostate cancer, the Oncotarget authors show that the drug-resistant, metastasis-causing cells are capable of producing drug-resistant, exponentially growing tumors, responsible for tumor growth as a patient receives different treatments.

The Oncotarget authors show that the drug-resistant, metastasis-causing cells are capable of producing drug-resistant, exponentially growing tumors, responsible for tumor growth as a patient receives different treatments

Dr. Krastan B. Blagoev from The National Science Foundation, as well as The Johns Hopkins University, said, "Tissue homeostasis is maintained by a small number of stem cells capable of symmetrical and asymmetrical cell division, with symmetrical cell division ensuring that the number of stem cells remains constant when a stem cell is lost and asymmetrical cell division maintaining the stem cell number constant when all stem cells are present."

Currently, it is thought that cancers emerge from one or both of these two cell populations, and cancer cells possessing stem cell markers and capable of proliferating when grafted in animal models have been identified in leukemia and solid tumors, and have been called cancer stem cells.

The epithelial to mesenchymal transition has been implicated in cancer cells and there is evidence that the metastatic-capable cells are somewhere on the spectrum between fully epithelial and fully mesenchymal cells while the metastasizing cells are phenotypically plastic and capable of moving along that spectrum.

Recently it was reported that the WNT/ß-Catenin pathway drives prostate cancer cells into symmetric cell divisions, suggesting that these cancer cells have lost the ability to divide asymmetrically.

The inner surface of the ducts is covered with epithelial luminal cells, which are surrounded by epithelial basal cells and scattered among them are neuroendocrine cells.

The Blagoev Research Team concluded in their Oncotarget Research Paper that the environment where normal stem cells reside in the stem cell niche populated with supporting cells and having an organized tissue architecture.

In contrast, cancers lose the polarized structure of the cells present in normal tissue, grow as bulk cell masses, and break the basal membrane surrounding the prostate to metastasize to distant cites.

Both mechanisms may be in play and further research is needed to characterize the architecture of the metastatic tumors and the operating cell division mechanisms. Currently, the origin of these symmetrically dividing cells is unclear.

One possibility is that one or more cancer stem cells begin to divide symmetrically overtaking the asymmetrically dividing cells.

Observation of the tumor at the individual cell level as well as monitoring of molecular markers of individual cells will be necessary to resolve the drivers behind phenotypic cell decisions in normal and cancerous tissues.

Sign up for free Altmetric alerts about this article

DOI - https://doi.org/10.18632/oncotarget.27855

Full text - https://www.oncotarget.com/article/27855/text/

Correspondence to - Krastan B. Blagoev - krastan@jhu.edu

Keywords -
drug resistance,
metastatic prostate cancer,
exponential growth,
tumor kinetics,
cancer stem cells

About Oncotarget

Oncotarget is a biweekly, peer-reviewed, open access biomedical journal covering research on all aspects of oncology.

To learn more about Oncotarget, please visit https://www.oncotarget.com or connect with:

SoundCloud - https://soundcloud.com/oncotarget
Facebook - https://www.facebook.com/Oncotarget/
Twitter - https://twitter.com/oncotarget
LinkedIn - https://www.linkedin.com/company/oncotarget
Pinterest - https://www.pinterest.com/oncotarget/
Reddit - https://www.reddit.com/user/Oncotarget/

Oncotarget is published by Impact Journals, LLC please visit http://www.ImpactJournals.com or connect with @ImpactJrnls

DOI

10.18632/oncotarget.27855

Credit: 
Impact Journals LLC