Novel PF74-like small molecules targeting the HIV-1 capsid protein

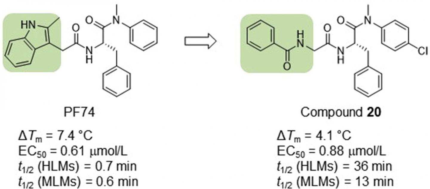
image: HIV-1 capsid protein (CA)-targeting PF74 suffers from prohibitively low metabolic stability. Structural modifications have yet to produce analogs with balanced potency and metabolic stability. Replacing the inter-domain interacting indole ring with less electron-rich isosteres allowed the identification of compound 20 with drastically improved metabolic stability while largely maintaining antiviral potency.

Image: 
Acta Pharmaceutica Sinica B

Novel PF74-like small molecules targeting the HIV-1 capsid protein: Balance of potency and metabolic stability
https://doi.org/10.1016/j.apsb.2020.07.016

Of all known small molecules targeting human immunodeficiency virus (HIV) capsid protein (CA), PF74 represents by far the best characterized chemotype, due to its ability to confer antiviral phenotypes in both early and late phases of viral replication. However, the prohibitively low metabolic stability renders PF74 a poor antiviral lead. The authors report on their medicinal chemistry efforts toward identifying novel and metabolically stable small molecules targeting the PF74 binding site. Specifically, they replaced the inter-domain-interacting, electron-rich indole ring of PF74 with less electron-rich isosteres, including imidazolidine-2,4-dione, pyrimidine-2,4-dione, and benzamide, and identified four potent antiviral compounds (10, 19, 20 and 26) with markedly improved metabolic stability. Compared to PF74, analog 20 exhibited similar submicromolar potency, and much longer (51-fold) half-life in human liver microsomes (HLMs). Molecular docking corroborated that 20 binds to the PF74 binding site, and revealed distinct binding interactions conferred by the benzamide moiety. Collectively, the authors data support compound 20 as a promising antiviral lead.

Credit: 
Compuscript Ltd